主营:化工产品、化工原料、水性涂料、消毒消杀用品(以上均不含危险化学品)、橡胶制品、塑料制品、仪器仪表、五
咨询电话:
13840408209
| 价格 | ¥ 450.00 |
| 起订量 | ≥1千克 |
| 最小起订量 | 1.0千克起批 | 发货期限 | 1天 |
| 有效期 | 长期有效 | 最后更新 | 2019-12-14 |
| 价格 | 450元起 | 品牌 | 沈阳晟达 |
PRODUCT DETAILS
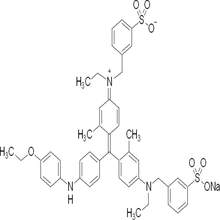
中文名称: | 亮蓝G |
中文别名: | 酸性艳蓝G; 考马斯亮蓝G250; 考马士亮兰G-250; 酸性蓝 90 |
英文名称: | Brilliant Blue G |
CAS号: | 6104-58-1 |
EINECS号: | 228-058-4 |
分子式: | C47H50N3O7S2 |
分子量: | 833.0453 |
分子结构: |
|
